元宇宙官网_元宇宙十大龙头股_元宇宙概念股
  • 首页
  • 元宇宙官网
  • 元宇宙十大龙头股
  • 元宇宙概念股
首页 ›包含"球员"标签的文章
男球员被举报出轨、裸聊,俱乐部通报

男球员被举报出轨、裸聊,俱乐部通报

近日,自称是球员刘议阳的女友在社交媒体上指控其多项不当行为:出轨,辱骂教练,传播他人私密照,经常夜不归宿等,引发关注。 昨天(11月27日),长春亚泰足球俱乐部...

元宇宙概念股 2025-11-28 0 评论 0 阅读
WTA公布2025赛季成绩单,“世一”萨巴伦卡领跑所有女球员

WTA公布2025赛季成绩单,“世一”萨巴伦卡领跑所有女球员

极目新闻记者 陈凌燕 萨巴伦卡(新华社资料图) 女子网球2025年赛季已经结束,WTA公布了各项数据。 27岁的萨巴伦卡连续第二年登顶年度世界排名第一。她是历...

元宇宙官网 2025-11-11 0 评论 13 阅读
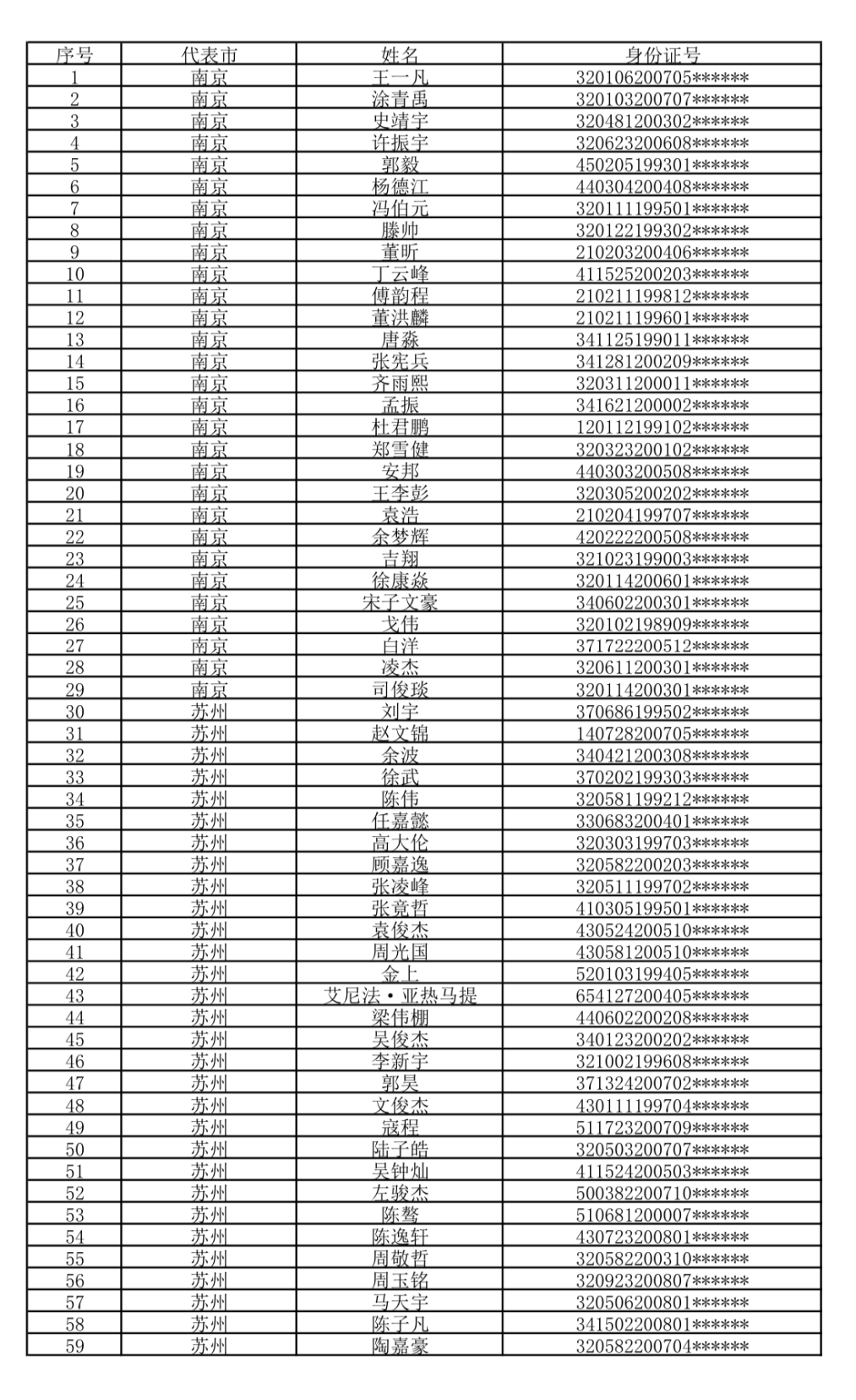
2025第二届江苏省足球发展重点城市对抗赛球员报名名单公示

2025第二届江苏省足球发展重点城市对抗赛球员报名名单公示

公示 按照《第二届江苏省足球发展重点城市对抗赛竞赛规程》对球员参赛资格审查的相关要求,现将球员报名名单进行公示。 一、公示时间为2025年11月7日至13日。...

元宇宙概念股 2025-11-07 0 评论 9 阅读
曝WCBA工资帽将正式出炉 国内球员总薪水不超1080万

曝WCBA工资帽将正式出炉 国内球员总薪水不超1080万

北京时间10月27日消息,据媒体人“我爱女篮”透露,WCBA的工资帽已经确定,将会在近期对外公布,俱乐部国内球员总薪水不能超过1080万! 此次改革后,WCBA...

元宇宙十大龙头股 2025-10-28 0 评论 9 阅读
前山东球员阿泽蒙BA单场轰下101分 CBA最高分仅2分

前山东球员阿泽蒙BA单场轰下101分 CBA最高分仅2分

北京时间10月21日消息,在蒙BA小组赛第六轮的比赛中,兴泰集团126-98击败巴彦淖尔,6战全胜! 兴泰集团球员阿泽两分28投27中,三分14中11,罚球16...

元宇宙十大龙头股 2025-10-21 0 评论 4 阅读
陈国豪战快船砍13分5篮板0失误 是国内球员最高得分

陈国豪战快船砍13分5篮板0失误 是国内球员最高得分

北京时间10月10日,NBA季前赛,广州龙狮95-142大比分不敌洛杉矶快船,遭遇NBA季前赛的两连败(此前负于马刺)。 广州龙狮队前锋陈国豪本场出战17分52...

元宇宙概念股 2025-10-10 0 评论 8 阅读
球员2次兴奋剂阳性终身禁赛 3年3例取消俱乐部资格

球员2次兴奋剂阳性终身禁赛 3年3例取消俱乐部资格

前新疆外援哈雷尔曾在赛季期间违规 北京时间9月30日消息,媒体人付政浩发文表示中国篮协加大了对兴奋剂的处罚力度,若一名球员两次阳性则终身禁赛,俱乐部三年内有三名...

元宇宙十大龙头股 2025-09-30 0 评论 12 阅读
杨鸣:外界的质疑一直都有 所有球员都憋着一股劲

杨鸣:外界的质疑一直都有 所有球员都憋着一股劲

9月24日晚,2025“立山文旅杯”辽宁男篮邀请赛在鞍山奥体中心进行,辽宁本钢队最终以85:77击败北京控股队。这也是双方3场系列赛的第一场,接下来双方的两场较...

元宇宙概念股 2025-09-25 0 评论 23 阅读
除非进行交易 否则火箭无法签约自由球员填补阵容

除非进行交易 否则火箭无法签约自由球员填补阵容

北京时间2025年9月23日,薪资专家鲍比-马克斯分析了火箭目前的薪资状况。 早些时候,范弗利特遭遇了前交叉韧带撕裂,预计将缺席整个赛季,这也打乱了火箭新赛季的...

元宇宙官网 2025-09-23 0 评论 19 阅读
吃回扣?曝滕哈格屡次推荐自己公司球员 引发药厂高层不满

吃回扣?曝滕哈格屡次推荐自己公司球员 引发药厂高层不满

北京时间9月3日消息,德国媒体披露了有关滕哈格下课的内幕,表示滕哈格屡次向勒沃库森高层推荐自己经纪公司的球员,这让俱乐部感到不满。值得一提的是,在执教曼联时,滕...

元宇宙官网 2025-09-03 0 评论 19 阅读
1 2 › 尾页

随机文章

  • 钯碳回收,医疗器械回收提炼贵金属与普通贵金属回收有什么区别
  • 港澳一周丨港府成立“内地企业出海专班”
  • 小心!这种虎币千万别要!2枚双遗币或取消招标!
  • 币圈投资必须知道的底层逻辑和知识
  • ten to one不是从10到1别再掉进数字坑啦
  • 分析 |《期货和衍生品法》调整对象演变逻辑
  • 慧博研报炼金之研报头条精华:策略视角下的出海投资机会,医药出海新旋律
  • 南京江宁元宇宙高峰论坛举办 元宇宙产业委加速元宇宙共识圈形成

热门文章

  • 1中国地质大来自学珠宝检测中心鉴定证书是真的吗?
  • 22022年中国纳税企业排名,华为再次亮眼,排名第三
  • 3忘记买了哪些保险?教你一键查询名下保单
  • 4每年到银行买100克金条存着,这样可以保值吗?到底划不划算?
  • 5体制内“铁饭碗”也有合同工,看着像公务员,其实并不是!
  • 6郭晶晶和超模吕燕同框,气质更出彩,穿搭的重要性不言而喻
  • 7一百年前,铝比黄金白银更值钱,让拿破仑三世痴迷,成为御用贵金属
  • 8随身WiFi真实测评,四个维度横向对比,中兴格行闪鱼上赞华为飞猫哪个好?
元宇宙官网_元宇宙十大龙头股_元宇宙概念股
© 2025  元宇宙官网_元宇宙十大龙头股_元宇宙概念股   沪ICP备00000000号